Hot Melt Extrusion – An Enabling Technology for Poorly Soluble Drugs

Hot melt extrusion (HME) has gained significant traction in the pharmaceutical field to address the challenges in formulating molecules as solid amorphous dispersions (ASDs) for improving solubility and oral bioavailability. It is critical because a majority of the BCS II and IV molecules are poorly water soluble and/or permeable, so conventional solubilization technologies, such as micronization, pH modification, and complexation, may not help achieve the desired supersaturation solubility in a typical dosage, especially medium-to-high drug-loading formulations.1
Among ASD technologies, HME and spray drying (SD) are commonly used. Ascendia Pharmaceutical Solutions provides both as part of its comprehensive, U.S.-based manufacturing. HME is highly preferred because it’s a solvent-free process, though finding the appropriate polymers compatible to drugs and higher temperatures can be challenging for crystalline, high melting (brick dust), and lipophilic molecules with high log P.2 In spite of these challenges, drug manufactures continue to look for non-conventional, and often novel, polymers to expedite the development of innovative molecules coming out of discovery do not meet the desired objectives.3
Over 20 drugs using HME technology have been launched.4 One example, Kaletra® (lopinavir/ritonavir) in tablet, was the first approved HIV drug that comprises copovidone and uses Span 20 as a solubilizer and plasticizer for the melt extrusion. The process further involves calendaring that leads to compression of granules into tablets in the downstream process. It was the first major breakthrough to reduce pill burden to avoid dose variabilities in fed and fasted states and to improve room temperature stability over that of Kaletra in soft gel capsules.5 This solubilization technology is also applicable to diverse dosage forms, including taste-masking of bitter drugs, controlled/sustained release, targeted drug delivery, and nanoparticles.6
Screening of Polymers for HME
Figure 1 illustrates the drug miscibility and immiscibility in polymeric carriers. A clear glassy film (as solid solution) suggests the drug is soluble in the polymer, whereas the precipitation in the polymer film suggests the drug is insoluble at and above those concentrations used. For low-to-medium throughput screening, drug and polymers are dissolved in polar solvent(s) as a clear solution, which is used to cast films on a glass plate. The solvent is removed under nitrogen and/or by placing the plate in an oven at 50°C for an extended period.
This process allows the polymer to challenge with different drug concentrations. Higher drug concentrations in a polymer may lead to nucleation or precipitation, indicating the polymer is not compatible with higher drug loadings. With active pharmaceutical ingredients (APIs) having a plasticizing effect, higher drug loading leads to higher miscibility in the polymers as a solid. The ideal miscibility of drug in polymer leads to one combined Tg, which lies in between Tg (determined by DSC) of polymer and that of amorphous drug, depending upon their concentrations in the binary mixtures.7
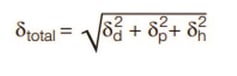
Solubility parameters of polymers and drugs are used to predict the miscibility of drug into polymers. Hansen solubility parameter, for example, is calculated by computer program SPWin (version 2.1) by the individual contributions of dispersive components, polar components, and hydrogen bonding components, as shown in the following equation:8

Where, δd is dispersion force, δp is dipole to dipole force, and δh is hydrogen bond. The total solubility parameter is calculated as under root of all three parameters combined. For example, δ (total) value for Soluplus® is 19.4 MPa0.5, and for Copovidone (Kollidon® VA64), it is 19.7 MPa0.5.
Similarly, for drugs like Fenofibrate, δ (total) value is 21.4 MPa0.5, and for itraconazole, it is 22.6 MPa0.5. If Dδ between drug and polymer is <7 MPa0.5, the drug might be miscible, but this difference may not predict to what extent the drug is soluble in the polymer. Therefore, to fully access the miscibility in the polymers during screening, it is important to evaluate the range of drug solubility in the polymers by challenging with different drug concentrations.9
Polymers for HME
Polymers play a crucial role in dissolving the drug in the matrices. Higher molecular weight of polymers provides better and stronger entanglement with drug molecules via H-bonding and van der Waal’s interactions, making them more stable as opposed to short polymeric chains.8 Drug stability in long-chained polymers is significantly greater than short-chain polymers.
Thus, it is important to assess the stability in selected polymers during pre-formulation so it meets the desired critical quality attributes (CQAs). For HME formulations, identifying an ideal polymer is crucial. First, the polymer is thermally stable and interacts with the drug to preserve the amorphous state of the drug for an extended period during manufacture and storage. It should also be hydrophilic and able to dissolve easily under GI pHs.
HME Process
Figure 2 shows the schematic diagram of an extrusion process. It involves several steps to achieve the solid solution:
- mixing of drug in polymeric carrier in molten state under controlled temperature.
- extrusion at a specific temperature and die pressure, screw speed, and configuration.
- cooling off the extrudates
- cutting of extrudate in tablets, films, pellets or granules.10
The extrusion temperature of a drug is typically kept at least 50°C above the glass transition temperature (Tg) of polymer. In many cases, despite a higher melting temperature of crystalline drugs, molten polymer may act as a solvent to help dissolve the API without reaching its melting point. This entire process enables the dispersion of drug within the carrier as an amorphous state or meta-stable states. In cases where the Tg of polymers are too high, the extrusion process is tackled by adding the plasticizers by lowering the extrusion temperature of the polymer. The higher the Tg of polymers, the higher the impact of plasticizers have and vice versa.8
HME is an efficient, solvent-free, continuous manufacturing method for converting crystalline drugs into an amorphous state. In molten state, polymers act as solvents and as thermal binders that hold back drug release upon cooling and solidification. In a single screw extruder, the screw rotates inside the barrel and is used for feeding, melting, devolatilizing, and pumping. It is good for initial screening of drugs in a range of polymers.
Twin screw extruders offer a better option with the choice of different configurations to obtain better mixing and extrusion. Temperature zones in the barrel are exposed to different thermal conditions, from transfer of material from the hopper to the screw, all the way to the metered pumping zone and exit through die at the end. Twin-screw extruders have advantages over single screw extruders in terms of easier material feeding, high kneading and dispersing capacities, less tendency to over-heat, and shorter transit time.11
Equipped with corotating screws or counter-rotating screws, these extruders are used for various pharma applications. The counter-rotating twin-screw extruders are not preferred as they lead to potential air entrapment, high-pressure generation, and low maximum screw speeds and output. Thus, the co-rotating twin screw extruders are recommended for pharma applications.
HME Applications
The following also sheds some light on the application of HME for pharma dosage forms.
Immediate Release of Solid Oral Dosages – HME has been used in formulating brick dust molecules for immediate drug delivery. Therefore, polymer selection is the very first step to identify appropriate hydrophilic polymers with higher molecular weight that enables them to interact effectively with drug molecules through intermolecular bonding. Copovidone, Povidone, Soluplus, pH dependent enteric polymers, among others, are typically preferred to effectively extrude with and without plasticizers, depending upon their Tg. The extrudates in the downstream process are cut into pellets/granules and filled in hard gel capsules or blended and mixed with diluents as fillers, binders, glidants, and lubricants before compressing in tablets. The tablets prepared by compression are typically large (over 1 g) with a polymer/drug ratio of 90:10 or 80/20 with the exceptions of higher drug loading to 30%-40% wt%.
Sustained and Delayed Release of Drugs – Selecting polymers with inherent hydrophobicity plays an important role in controlled release of drugs. HME extrusion might require plasticizers to help extrude the drugs, especially with higher drug amounts. Brabender et al. evaluated in healthy volunteers ibuprofen extruded in cellulosic excipients with xanthan gum as controlled-release matrix and found that Cmax and AUC were significantly lower than commercially available Ibu-slow® tablets.
In another study, Zhang and McGinity evaluated chlorpheniramine maleate (CPM) at 20% in high molecular weight PEO as a carrier with PEG3350 as plasticizer and found that the drug was stable, and drug- release properties were not affected by drug loading at 20% or higher.12 Darji et al evaluated Kollicoat MAE 100 for delayed release of ibuprofen using melt extrusion. The extruded pellets when subjected to dissolution studies showed 1.5% release at pH 2 in 2 hours, whereas a complete release in the next 2 hours at pH 6.8, suggesting using an HME, the enteric properties of Kollicoat MAE100 is maintained, thus, alleviating the possibility for tablet coating. Drug loading in the extruded pellets ranged 40%-50%. Meltrex® technology has been used for controlled release HME products.13
Implants for IM, SC, and Ocular Drug Delivery – HME has been used for delivery of drugs via intramuscular, subcutaneous, and intraocular routes of administrations. The formulation and delivery of drugs for such applications depends on polymer characteristics, such as their hydrophilicity and hydrophobicity, compositions, degradation behavior, molecular weight, crystallinity and amorphous nature, and hygroscopicity, among other attributes. Polymers, including PLGA, PLA, PGA, polyurethane polyanhydrides, and polyesters, among others, are commonly used in HME, due to biodegradability in nature.
Future Perspectives
As new molecules continue to be investigated and remain challenging due to their poor solubility and bioavailability, drug development teams are exploring all viable options to expedite bringing drugs to market. As a solvent-free process, HME can lead to seamless continuous process in upstream and downstream for small and large molecules and is compatible for a wide range of synthetic and natural polymers and excipients and solubilizers. With the advent of newer equipment with higher throughput and smaller footprints, HME can lead to better and efficient continuous manufacturing processes, making it more attractive for immediate- and controlled-release applications.
Ascendia Pharmaceutical Solutions offers several solubilization platforms for challenging molecules. With its enabling technology platform, AmorSol®, we can help expedite the discovery and development of drugs by converting crystalline drug into stable ASDs. Other enabling technologies, like NanoSol® are applicable to nanosuspensions could be used as depots, an alternative to melt extruded implants.
References
- S. Ali and K. Kolter, Tackling the challenges with poorly soluble drugs, J. Anal. Pharm. Res., 2015, 1(1), 00001.
- S. H. Yalkowsky, Solubility and Solubilization in Aqueous Media. Oxford University Press, USA, 1999, p. 67.
- S. Ali, N. Langley, D. Djuric and K. Kolter K (2010) Soluplus® – A novel polymer for hot melt extrusion. Tablets & Capsules, 2010, 8, No. 7.
- D. E. Moseson, T. B. Tran, B. Karunakaran, R. Ambardekar, and T. N. Hiew, Trends in amorphous solid dispersion drug products approved by the U.S. Food and Drug Administration between 2012 and 2023, Int. J. Pharm. 2024, X7, 100259.
- E. M. Donato, L. A. Martins, P. E. Fröehlich, and A. M. Bergold, Development and validation of dissolution test for lopinavir, a poorly water-soluble drug, in soft gel capsules, based on in vivo data, J. Pharm. Biomed. Analysis, 2008, 47, 547-552
- S. Ali and K. Kolter, Challenges and Opportunities in Oral Formulation Development, Am. Pharm. Review, 2012 December
- de Brabander, C. Vervaet, L. van Bortel, and J. P. Remon, Bioavailability of ibuprofen from hot melt extruded mini-matrices. Int. J. Pharm., 2004, 27, 77-84.
- H. Hardung, D. Djuric, and S. Ali, Combining HME & Solubilization: Soluplus® – The Solid Solution, Drug Development & Delivery, 2010
- K. Kolter and A. Gryczke, Hot melt extrusion with BASF Pharma Polymers, 2012.
- A. L. Sarode, H. Sandhu, N. Shah, W. Malick and H. Zia, Hot melt extrusion (HME) for amorphous solid dispersions: Predictive tools for processing and impact of drug–polymer interactions on supersaturation, Eur. J. Pharm. 2013, 48, 371-384.
- A. Gryczke, Melt Extrusion with EUDRAGIT Solubility Enhancement Modified Release. Degussa, ROHM GmbH & Co. ¨ KG, Darmstadt, Germany, 2006.
- Y. Sun, Y. Rui, Z. Wenliang, and X. Tang, Nimodipine semi-solid capsules containing solid dispersion for improving dissolution, Int. J. Pharm., 2008, 359, 144-149.
- M. Darji, A. Pradahn, S. K. Vemula, K. Kolter, N. Langley and M. A. Repka, Development of delayed release pellets of ibuprofen using Kollicoat MAE 100P via hot melt extrusion technology, J. Pharm. Innovation, https://doi.org/10.1007/s12247-023-09758-x